Сегодня возможности ИИ развиты настолько, что мало кого способны удивить созданные с его помощью фотографии, вертикальные видео или даже целые фильмы. За считанные секунды мы можем получить не только гиперреалистичную картинку, но и выразительный текст на любую тему и в любом стиле.
ИИ владеет и стихотворной речью — ритмизованной и осмысленной. Однако возникает вопрос: является ли модель вроде ChatGPT/Claude/Gemini поэтом? Есть ли у него свой художественный язык, особенности поэтики? Или он всего лишь виртуозно запрограммированный моделист, компилирующий разные человеческие «почерки»?
В статье Does ChatGPT Have a Poetic Style? Мелани Уолш, Анна Прейус и Элизабет Гронски решили разобраться именно в этом [1]. Сегодня создание стихов становится популярной опцией больших языковых моделей (Large Language Models, далее — LLM). Она способна концентрировать речь до стихотворной по смыслу, языку и звучанию. Но даже получив большой корпус сгенерированных стихотворений, мы сомневаемся в том, что у виртуального «автора» есть свой уникальный поэтический слог, не являющийся стилизацией. Авторы посвящают статью разрешению этого сомнения.
Вне субъективности
Предмет изучения исследователей — не субъективная оценка качества сгенерированных стихотворений, а описание ключевых закономерностей в их создании [1]. Статистический анализ множества текстов, выявление их «общих мест» и характерных особенностей выстраивают исследование, которое позволяет судить о качестве и сложности поэзии ИИ. Поэтический корпус состоит из стихотворений, сгенерированных системами GPT-3.5 Turbo и GPT-4. Также рассматриваются тексты реальных людей (все они взяты из архива Академии американских поэтов — Poetry Foundation and the Academy of American Poets), с которыми ученые сравнивают специфику поэзии искусственного и человеческого интеллектов.
Реальное vs виртуальное: детали сравнения
Цифровая гуманитаристика часто сосредоточена на поиске систематических особенностей поэзии искусственного интеллекта. При этом исследователи не отрицают, что такая поэзия самоценна и имеет право на существование (сгенерированные тексты безоговорочно называются poems). Исходя из этого, изучение поэзии ИИ уподобляется анализу «живой» авторской поэзии. В самой статье идет постоянное сравнение не только моделей GPT, но и, как уже было отмечено ранее, корпуса авторских текстов с корпусом ИИ. Благодаря этому разнообразие стилей отражается через связь «человек–машина», не ограничиваясь параллелью «машина-1 — машина-2».
Результаты исследования показывают, что поэзия, созданная GPT-3.5 и GPT-4, гораздо более ограничена и однообразна, чем поэзия, созданная человеком.
Авторы статьи обнаруживают, что модели GPT (особенно GPT-4) действительно способны создавать стихотворения распространенных и редких англоязычных форм. Это уже говорит о гибкости поэтического мышления ИИ.
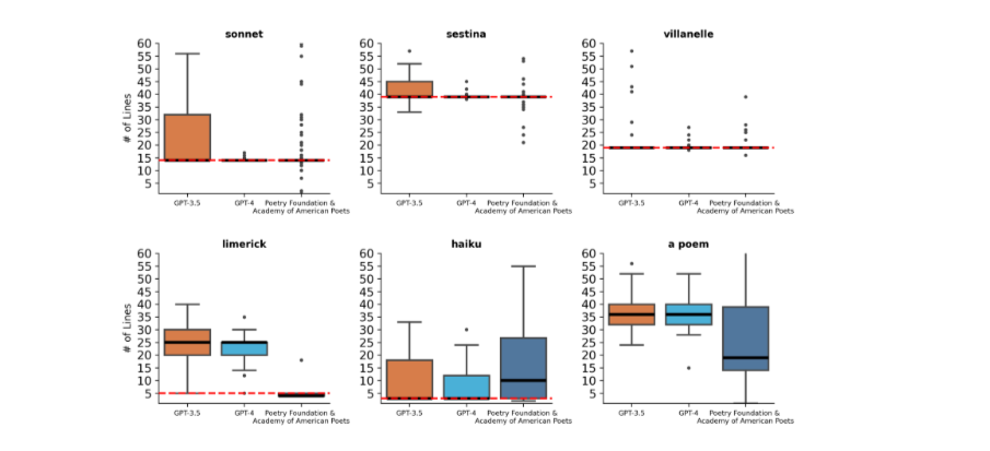
Например, на запрос о конкретном жанре система создает стихотворения определенной длины (для сонетов — 14 строк, вилланелей — 19 строк и сестин — 39 строк). При этом ИИ без специальных указаний вырабатывает стандартную длину текста — примерно 32 стиха.

Однако — и тут важное дополнение — устройство поэзии ИИ все же зависит от человека. В статье об этом говорит понятие промпт, то есть подсказка, указание, ключевая точка. Промпты пользователя существенно влияют на стиль и устройство текста ИИ: человек определяет рамки его творчества, задает критерии для поиска примеров. Кроме того, слова в подсказках могут использоваться системой в самом тексте — порой пользователь и не предполагает этого [1]. Разные типы формирования запроса подтверждают влияние промптов на качество генерируемой поэзии.
Но глобально это не говорит о том, что модели GPT генерируют текст с опорой только на запросы или примеры пользователей. ИИ-модели демонстрируют и свои собственные стилистические особенности внутри и вне конкретных форм. Этот элемент «авторской воли» появляется независимо от команды человека. Такие особенности оказываются достаточно регулярными, что позволяет выделить их как тенденции.
Особенность — распространение — закономерность
Черта всегда становится тенденцией, когда распространяется достаточно широко. Статистика корпуса текстов всегда будет подтверждать намечающиеся закономерности. Например, если при запросе не указано иное, модели GPT склонны создавать рифмованные строки в виде ямба. Этот силлабо-тонический метр характеризовал большинство англоязычных стихотворений до XX века, а сейчас стал основным в виртуальном поле. Обе модели имеют явную склонность объединять строки в четверостишия (катрены). Среди черт сгенерированных текстов также преобладает речь от 1-го лица множественного числа.


Итак, обратимся к набору основных поэтических черт. Все корпуса текстов анализируются через целую систему поэтических аспектов:
- жанры;
- темы (Subjects/Styles/Prompt Templates);
- объем (количество строк);
- лица глаголов;
- лексемы (в частности вступительные);
- рифмы (наличие и типы).
Эти параметры универсальны, так как выделяются в любом стихотворении. Они могут как задаваться человеком, так и нет. Во втором случае можно анализировать некие свободные решения ИИ при генерации текстов — склонности, которые не контролирует пользователь. Исследователи приходят к выводу, что на основе этих регулярных особенностей можно говорить о самостоятельном поэтическом стиле ИИ.
В результате среди свободных повторяющихся решений в сочинении стихотворений выделяются:
- склонность делить текст на четверостишия (катрены);
- доминирование 1-го лица множественного числа;
- частое использование конкретных слов (heart, embrace, echoes и whispers [1]);
- частое использование служебных слов (in, upon, beneath, behold и within);
- стандартный размер текста (длина «типового» стихотворения от 32 до 36 строк);
- постепенный отказ от ямбической формы как доминирующей (в более современных моделях ИИ тенденция к ямбу уменьшается);
- четкая и частая рифмованность (90% сгенерированных текстов имеют хотя бы одну конечную рифму, склоняются к парной рифмовке).
Итог: почти на каждый аспект стихотворения ИИ вырабатывает свои устройства и особенности. В комплексе это напоминает картину стиля англоязычной поэзии XIX века, на что указывают многие черты: количество строк, катрены, рифмовка, метр ямба. Для современного читателя такое классическое устройство текста не является новым, поэтому искусственный «поэт» воспринимается скорее как подражатель, компилятор привычных форм, а не создатель новаторских поэтических идей. Но в этом есть своя красота — ведь так учатся мастера, — подражая и развивая свой творческий язык. Подобным образом происходит становление не только поэта, но и человека в целом: эпигонство перерастает в самостоятельность и оригинальность.
Генерируемая поэзия сейчас и далее
Говоря о склонностях чата GPT сегодня, исследователи выделяют стандартные регулярные решения почти в каждом аспекте поэтического текста. Четкие тенденции в поэтическом арсенале ИИ запускают серьезную дискуссию в цифровой гуманитаристике. Исследователей интересуют:
- группы частотных слов/частей речи, их динамические всплески в потоке генерируемых текстов;
- знания ИИ о конкретных жанрах, степень подражания им;
- стереотипы в поэзии LLM.
Таким образом, появляется все больше возможностей изучать глубины поэтического поля ИИ. Авторы статьи подчеркивают: сейчас создается новая область знаний, где даже эпигонские решения (которые отрицательны для реальной поэзии), кажущиеся тривиальными, важны для понимания того, как действует «искусственный поэт». Именно через эти явления можно понять, как развивается его стилистика, какова глубина его поэтического мышления.
По сравнению с человеком модели демонстрируют значительно меньшую вариативность и креативность в стихах. Стиль поэзии ИИ можно выделить, но определить как примитивный, зачаточный. Без дополнительного влияния человека или команд пользователя, или заданной ориентации на реальных авторов со своим поэтическим языком – машина выдает стандартный и достаточно ограниченный результат. Возможно, это мешает выделить категорию стиля у ИИ, как присущую только человеку. Но способность моделей создавать стихи оптимальной длины для широкого спектра форм и содержаний — без какой-либо тонкой настройки — знаменует значительное развитие автоматической генерации текстов. Это уже говорит о начале эпохи новейшей поэзии, в которой искусственный интеллект обладает всеми возможностями для того, чтобы выработать свой уникальный голос.
Источники
- Walsh М., Preus А., Gronski Е. Does Chat GPT Have a Poetic Style? // CHR 2024: Computational Humanities Research Conference. 2024. DOI: 10.48550/arXiv.2410.15299.
- Ким М. Как работают языковые модели // Системный блокъ. 25.05.2023. URL: https://sysblok.ru/knowhow/kak-rabotajut-jazykovye-modeli/.